地幔交代引发地幔性质的转变不仅涉及物质组成变化,还包括地幔温度变化。地幔岩石中的角闪石是含水地幔交代的产物。角闪石的稀土元素(REE)组成和形成温度对交代熔体的性质以及交代事件的温度具有重要的指示意义。然而,由于地幔岩石中的角闪石常呈它形小颗粒出现在其他矿物粒间,难以进行精确的原位成分分析。另外,已有的角闪石温度计,主要用于计算岩浆岩中角闪石(斑晶)的结晶温度,或者变质岩中角闪石与伴生矿物之间的平衡温度,不能精确计算地幔岩石中角闪石的形成温度。
针对以上问题,365英国上市公司许文良教授引领的“地球深部动力学创新团队”成员王春光副教授与美国布朗大学梁焱教授开展合作研究,利用高温高压实验参数化的晶格应变模型,建立了地幔条件下辉石-角闪石REE分配模型和REE温度计,揭示了地幔交代过程中的REE分布规律与温度特征。具体研究成果如下:
1. 辉石、角闪石与熔体之间的REE分配系数主要受控于温度、矿物主量元素成分(Sun and Liang, 2012; Yao et al., 2012; Shimizu et al., 2017)。据此建立了辉石-角闪石REE分配系数与温度的关系,并使用天然地幔样品对模型进行校正。结果表明地幔岩石中角闪石的结晶温度低于斜方辉石和单斜辉石的结晶温度(图1)。
2. 利用以上模型,可以通过角闪石和辉石的主量元素和REE成分反演角闪石的结晶温度(图1)。与已有的角闪石温度计相比,该REE温度计可以更好地表征含水熔体交代岩石圈地幔的温度。

图1 使用辉石-角闪石REE温度计反演温度(样品来自Matusiak-Małek et al., 2017)
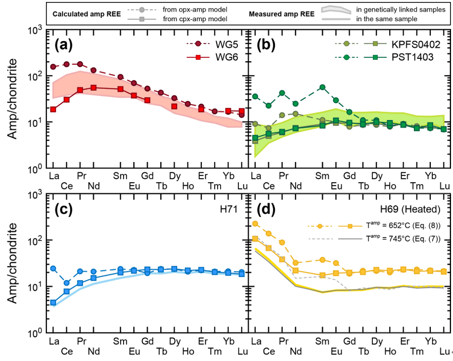
3. 利用模型得出的分配系数和辉石的REE含量计算出角闪石的REE含量,计算结果很好地拟合了测量值(图2)。因此,在难以获取角闪石REE成分的情况下,分配模型可以帮助计算角闪石的REE含量,进而推断交代熔体的成分。

图2 使用分配模型计算的角闪石REE配分形式与测量结果对比(样品来自Matusiak-Małek et al.,2017; Aradi et al., 2020; Puziewicz et al., 2023)
以上研究成果于2024年3月以“Distribution of REE between amphibole and pyroxenes in the lithospheric mantle: An assessment from the lattice strain model”为题发表于国际矿物学权威期刊《American Mineralogist》上。该工作得到365英国上市公司科技创新研究团队(2021TD-050)资助。研究的详细信息请参考原文。
原文信息:Chunguang Wang, Yan Liang, Wenliang Xu, Chenguang Sun, Shimizu Kei. Distribution of REE between amphibole and pyroxenes in the lithospheric mantle: An assessment from the lattice strain model. American Mineralogist (MARCH 08, 2024). https://doi.org/10.2138/am-2022-8831.
参考文献: Aradi et al., 2020, Lithos, 378–379, 105831. Matusiak-Małek et al., 2017, Lithos, 286–287, 302–323. Puziewicz et al., 2023, J Petrol, 64, egad049. Shimizu et al., 2017, Am Mineral, 102, 2254–2267. Sun and Liang, 2012, Contrib Miner Petrol, 163, 807–823. Yao et al., 2012, Contrib Miner Petrol, 164, 261–280.
转载自 公众号:地学之家